一種新的Lyot型雙折射調諧濾光片
石英晶體波片的延遲量對入射傾角有很大的敏感性,利用波片的這一特性,從普通的Lyot型雙折射濾光片的基本原理出發,設計了一種新的Loyt型雙折射調諧濾光片。調諧的方法是使石英波片繞平行于光軸的軸向轉動。理論和實驗證明這一設計有較好的可調性,可調范圍比較寬。比普通的加入λ/4波片和λ/2波片的Lyot型雙折射調諧濾光片簡化了結構、降低了成本。
Lyot型濾光片是法國物理學家LYOT為了天文研究的需要,特別是為了觀察太陽的日珥和日冕而發明的單色雙折射濾光片。由于雙折射濾光片可被設計成具有大視場角、窄通帶、良好的抗光損傷能力等獨特的光學特性的器件,因此,在許多領域仍有其它濾光片不可替代的作用。Lyot濾光片是根據晶體的雙折射效應和偏振光的干涉原理而設計的[1]。對它調諧的方法有很多種[2],可以用改變溫度的方法,使濾光片中的每塊晶片的厚度和雙折射率發生變化,從而引起透射波長的變化;為了獲得一個更寬的調諧范圍,可以用兩塊楔形晶體代替濾光片中的每一塊雙折射晶體,當楔形板相對于另一塊滑動時,晶體的厚度就發生變化,從而引起透射波長的變化;
TITLE和ROSENGERG在Lyot濾光片中插入了λ/4波片和λ/2波片,從而使調諧變得簡單可行了。這些方法都是從Lyot濾光片的原理出發,達到對光的調諧,但是需要控制溫度,或對晶體進行重新加工,或加入新的器件,且對于溫控的方法可調諧的范圍不大。本文中同樣從普通的Lyot型雙折射濾光片的基本原理出發,利用波片延遲量對入射傾角的敏感性[3],使波片繞平行于光軸的軸向轉動,從而實現對光的調諧,簡化了結構,降低了成本,具有調諧范圍寬、調諧方便等優點。利用石英晶體晶片延遲量對入射傾角的敏感性作調諧濾光片的設計迄今尚未見報道。
1 Lyot型雙折射濾光片的原理
Lyot濾光片是根據晶體的雙折射效應和偏光干涉原理而設計的。它的結構原理如圖1所示。圖中, P1和P2是偏光鏡, L1是光軸平行于晶體表面切割的石英晶片,兩偏光鏡P1和P2的偏振面是互相平行的,L1的光軸方向與兩偏光鏡P1和P2的偏振面成45°。非線偏振光經過P1后成為線偏振光,垂直入射到石英晶片L1表面上,由于L1是平行于光軸切割的雙折射片所以,入射光在進入石英片后,產生平行于光軸振動的非常光(e光)與垂直于光軸振動的尋常光(o光),它們再沿同一方向傳播,但由于兩光在晶體內的傳播速度不同,所以從石英片出射后, o光和e光的相位是不同的,其延遲量為:Δδ=2π(ne-no)d/λ,此時,雖然o光和e光是來自同一條光線,且沿同一方向傳播,但振動方向卻相互垂直,故不能發生干涉。當它們通過P2后, o光和e光二振動方向平行,因而能產生干涉。濾光片的透射比由下式決定[3]:
T =cos2(δ/2) (1)

可見,對一定波長的光λ,對應一定的δ值,若使δ取某一相應的值,T便可取得最大值;對于不同的波長的光,要使其透射最大,則必須改變δ,因此達到調諧性能。當d=5mm時,Lyot濾光片的理論透射曲線見圖2。

2 繞平行于光軸的軸向轉動波片
下面從理論上討論繞平行于光軸的軸向轉動波片, o光和e光位相差δ的變化情況。
圖3是厚度為d、波片晶體光軸垂直紙面時,繞平行于光軸的軸向轉動波片的情況。在此情況下,光線由空氣斜入射到波片, o光和e光都滿足菲涅耳定律[4]: sinθ=sinθono=sinθene,式中,no和ne為晶體的主折射率。

通過計算,可得o光和e光的光程差為:

3 可調諧濾光片
從Lyot調諧濾光片的基本原理出發,結合石英波片繞平行于光軸的軸向轉動使相位延遲的變化,設計調諧濾光片的結構見圖4。

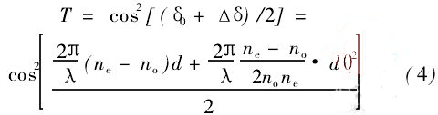
由(1)式、(3)式得可調諧濾光片的透射比為:

從公式可以看出,對一定波長的光λ,對應一定的δ值,若使δ取某一相應的值,T便可取得最大值;對于不同的波長的光,要使其透射比最大,則必須改變θ,因此達到調諧性能。
以石英晶體為例,其厚度為5mm,圖5是濾光片透射曲線,其中實線為θ=0°時濾光片透射曲線,虛線為θ=12°時濾光片透射曲線。從圖可以看出,當θ發生變化時透射光的波長也隨之而改變,從而達到調諧的目的。

為了檢驗理論的正確性,采用島津UV23101PC型分光光度計對該結構的雙折射調諧濾光片進行了測試。測試中使用的波片的厚度為322. 8μm,在1064nm處是λ/2的石英波片。測試得到的調諧濾光片的透射曲線見圖6,其中實線為θ=0°時濾光片透射曲線,虛線為θ=14°時濾光片透射曲線。由結果可以看出實驗與理論符合得很好。

4 結論
利用波片延遲量對入射傾角的敏感性所設計的Lyot雙折射濾光片具有較好的可調性,可調范圍比較寬。對于單級Lyot可調濾光片來說,它的通帶半寬度較大,這是其最大的缺憾,如果希望得到較窄的帶寬,必須采用多級的辦法來實現。感謝宋連科老師和郝殿中老師在實驗和數據處理中給予的幫助。