減反射膜原理
減反射膜又稱增透膜、AR膜、AR片、減反射膜、AR濾光片,它的主要功能是減少或消除透鏡、棱鏡、平面鏡等光學表面的反射光,從而增加這些元件的透光量,減少或消除系統的雜散光。最簡單的增透膜是單層膜,它是鍍在光學零件光學表面上的一層折射率較低的薄膜。如果膜層的光學厚度是某一波長的四分之一,相鄰兩束光的光程差恰好為π,即振動方向相反,疊加的結果使光學表面對該波長的反射光減少。適當選擇膜層折射率,這時光學表面的反射光可以完全消除。

(圖源網絡,侵刪)
一般情況下,采用單層增透膜很難達到理想的增透效果,為了在單波長實現零反射,或在較寬的光譜區達到好的增透效果,往往采用雙層、三層甚至更多層數的減反射膜。減反射膜是應用最廣、產量最大的一種光學薄膜,因此,它至今仍是光學薄膜技術中重要的研究課題,研究的重點是尋找新材料,設計新膜系,改進淀積工藝,使之用最少的層數,最簡單、最穩定的工藝,獲得盡可能高的成品率,達到最理想的效果。對激光薄膜來說,減反射膜是激光損傷的薄弱環節,如何提高它的破壞強度,也是人們最關心的問題之一。
光具有波粒二相性,即從微觀上既可以把它理解成一種波、又可以把他理解成一束高速運動的粒子(注意,這里可千萬別把它理解成一種簡單的波和一種簡單的粒子。它們都是微觀上來講的。 紅光波的波長=0.750微米 紫光波長=0.400微米。 而一個光子的質量是 6.63E-34 千克. 如此看來他們都遠遠不是我們所想想的那種宏觀波和粒子.) 增透膜的原理是把光當成一種波來考慮的,因為光波和機械波一樣也具有干涉的性質。
在鏡頭前面涂上一層增透膜(一般是"氟化鈣",微溶于水),如果膜的厚度等于紅光(注意:這里說的是紅光)在增透膜中波長的四分之一時,那么在這層膜的兩側反射回去的紅光就會發生干涉,從而相互抵消,你在鏡頭前將看不到一點反光,因為這束紅光已經全部穿過鏡頭了.
為什么我從來沒有看到沒有反光的鏡頭? 原因很簡單,因為可見光有“紅、橙、黃、綠、藍、靛、紫”七種顏色,而膜的厚度是唯一的,所以只能照顧到一種顏色的光讓它完全進入鏡頭,一般情況下都是讓綠光全部進入的,這種情況下,你在可見光中看到的鏡頭反光其顏色就是藍紫色,因為這反射光中已經沒有了綠光。膜的厚度也可以根據鏡頭的色彩特性來決定。
定義及其設計
二十世紀三十年代發現的增透膜促進了薄膜光學的早期發展.對于技術光學的推動來說,在所有的光學薄膜中,增透膜也起著最重要的作用.直至今天,就其生產的總量來說,它仍然超過所有其他的薄膜 因此,研究增透膜的設計和制備教術,對于生產實踐有著重要的意義.
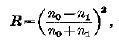
我們都知道,當光線從折射率n0的介質射入折射率為n1的另一介質時,在兩介質的分界面上就會產生光的反射.如果介質沒有吸收,分界面是一光學表面,光線又是垂直入射,則反射率R為透射率為
透射率為:
例如,折射率為1。52的冕牌玻璃,每個表面的反射約為4.2%左右。折射率較高的火石玻璃,則表面反射更為顯著.這種表面反射造成了兩個嚴重的后果:光能量損失,使象的亮度降低;表面反射光經過多次反射或漫射,有一部分成為雜散光,最后也到達象平面,使象的襯度降低,從而影響系統的成象質量,特別是電視、電影攝影鏡頭等復雜系統,都包臺了很多個與空氣相鄰的表面,如不敷上增透膜將完全不能應用.
目前已有很多不同類型的增透膜可供利用.以滿足技術光學領域的極大部分需要.可是復雜的光學系統和激光光學,對減反射性能往往有特殊嚴格的要求.例如.大功率激光系統要求某些元件有極低的表面反射,以避免敏感元件受到不需要的反射的破壞.此外,寬帶增透膜提高了象質量、色平衡和作用距離,而使系統的全部性能增強.因此,生產實際的需要促使了減反射膜的不斷發展.
在比較復雜的光學系統中, 入射光的能量往往因多次反射而損失。例如,高級照相機的鏡頭有六、七個透鏡組成。反射損失的光能約占入射光能的一半,同時反射的雜散光還要影響成像的質量。為了減少入射光能在透鏡玻璃表面上反射時所引起的損失,常在鏡面上鍍一層厚度均勻的透明薄膜(常用氟化鎂MgF2,其折射率為1.38,介于玻璃與空氣之間),利用薄膜的干涉使反射光能減到最小,這樣的薄膜稱為增透膜。
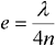
現在我們來看一下簡單的單層增透膜。設膜的厚度為e,當光垂直入射時,薄膜兩表面反射光的光程差為 2ne,由于在膜的上、下表面反射時都有相位突變 ,結果沒有附加的相位差,兩反射光干涉相消時應滿足:

單層增透膜
單層增透膜膜的最小厚度應為(相應于k=0 )
![]()
由于反射光相消,因而透射光加強。
單層增透膜只能使某個特定波長λ的光盡量減少反射,對于相近波長的其他反射光也有不同程度的減弱,但不是減到最弱,對于一般的照相機和目視光學儀器,常選人眼最敏感的波長λ=550nm作為“控制波長”,在白光下觀看此薄膜的反射光,黃綠色光最弱,紅光藍光相對強一些,因此鏡面呈籃紫色。
有些光學器件需要減少其透射率,以增加反射光的強度。如氦氖激光器中的諧振腔反射鏡,要求對波長λ=632.8nm 的單色光的反射率達99%以上。如果把低折射率的膜改成同樣厚度的高折射率的膜,則薄膜上下表面的兩反射光使干涉加強,這就使反射光增強了,而透射光就減弱,這樣的薄膜就是增反膜或高反射膜。一般的單層增反膜可使反射率提高到30%以上,而多層增反膜可以提高的更多。由于這種介質膜對光的吸收很少,所以比鍍銀、鍍鋁的反射鏡效果更佳。